Skip to content

Message formatting

Zulip uses Markdown to allow you to easily format your messages. Even if you’ve never heard of Markdown, you are probably familiar with basic Markdown formatting, such as using * at the start of a line in a bulleted list, or around text to indicate emphasis.

Formatting buttons in the compose box make it easy to format your message. For those who prefer to type the formatting they need, this page provides an overview of all the formatting available in Zulip. There is a convenient message formatting reference in the Zulip app that you can use whenever you need a reminder of the formatting syntax below.

In Zulip, you can make text bold or italic, or cross it out with strikethrough.

What you type

**bold**, *italic*, and ~~strikethrough~~ text
***~~All three at once~~***

What it looks like

Markdown emphasis

Zulip supports Markdown formatting for bulleted lists. You can create bulleted lists using *, -, or + at the start of each line. Add two spaces before the bullet to create a nested list.

What you type

* bulleted lists
* with sub-bullets too
* sub-bullets start with 2 spaces
* start sub-sub-bullets with 4 spaces
* multi
line
bullet
- dashes and
+ pluses are ok too

What it looks like

Markdown bullets

Zulip supports Markdown formatting for numbered lists. You can create numbered lists by putting a number followed by a . at the start of each line. Lists are numbered automatically, so you can reorder list items while editing your message without having to update the numbers. Add two spaces before the number to create a nested list.

What you type

1. numbered lists
1. increment automatically
1. use nested lists if you like
3. delete or reorder lines without fixing the numbering
1. one more
17. lists can start at any number
18. so you can continue a list after some other text

What it looks like

Markdown numbered lists

In Zulip, you can insert a named link using Markdown formatting. In addition, Zulip automatically creates links for you when you enter:

What you type

Named link: [Zulip homepage](zulip.com)
A URL (links automatically): zulip.com
Channel link: #**channel name**
Topic link: #**channel name>topic name**
Message link: #**channel name>topic name@123**
Custom linkifier: For example, #2468 can automatically link to an issue in your tracker.

What it looks like

Markdown links

You can write snippets of code, code blocks, and other text in a fixed-width font using standard Markdown formatting. Zulip also has syntax highlighting and supports configuring custom code playgrounds.

What you type

Inline code span: `let x = 5`
Code block:
```
def f(x):
return x+1
```
Syntax highlighting:
```python
def fib(n):
# TODO: base case
return fib(n-1) + fib(n-2)
```

What it looks like

Markdown code

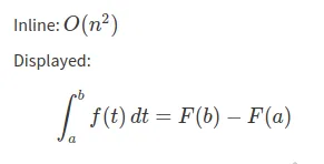
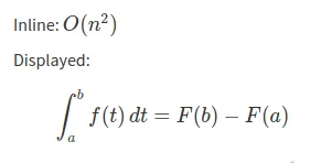
Zulip supports math typesetting powered by KaTeX. Their support table is a helpful resource for checking what’s supported or how to express something.

What you type

Inline: $$O(n^2)$$
Displayed:
``` math
\int_a^b f(t)\, dt = F(b) - F(a)
```

What it looks like

Markdown LaTeX

You can format quotes one line at a time, or create a block of text that will be formatted as a quote.

What you type

> a multi-line
quote on two lines
normal text
```quote
A multi-paragraph
quote in two paragraphs
```

What it looks like

Markdown quotes

Zulip lets you temporarily hide content in a collapsible spoiler section, with only the header initially shown. Clicking on the header reveals the hidden content.

What you type

```spoiler The spoiler heading might summarize what's inside
This content is initially hidden.
> You can combine spoilers with other formatting.
```
A message can contain both spoilers and other content.
```spoiler
Leave the heading blank if you like.
```

What it looks like

Collapsed spoilers:

Spoiler collapsed

Expanded spoilers:

Spoiler expanded

You can use emoji in Zulip messages and topics. There are several ways to use an emoji in your message:

You can add custom emoji for your organization. Like default emoji, custom emoji can be entered into the compose box by name, or selected from the emoji picker.

What you type

:octopus: :heart: :zulip: :)

What it looks like

Markdown emoji

You can mention a team member or user group to call their attention to a message. Mentions follow the same notification settings as direct messages and alert words. A silent mention allows you to refer to a user without triggering a notification. A wildcard mention allows you to mention everyone on a channel, or mention all topic participants.

What you type

Users: @**Bo Lin** or @**Ariella Drake|26** (two `*`)
User group: @*support team* (one `*`)
Silent mention: @_**Bo Lin** or @_**Ariella Drake|26** (`@_` instead of `@`)
Wildcard mentions: @**all**, @**everyone**, @**channel**, @**topic** (two `*`)

What it looks like

Markdown mentions

You can send messages that display your profile picture and name as the beginning of the message content by beginning a message with /me. You can use this feature in conversations when you want to describe actions you’ve taken or things that are happening around you using a third-person voice.

For example, if you are Ada Starr:

What you type

/me is away

What it looks like

Markdown status

When collaborating with people in different time zones, you often need to express a specific time clearly. In Zulip, rather than typing out your time zone and having everyone translate the time in their heads, you can insert a time, and it will be displayed to each user in their own time zone (just like timestamps on Zulip messages).

What you type

A date picker will appear once you type <time.

Our next meeting is scheduled for <time:2024-08-06T17:00:00+01:00>.

What it looks like

A person in San Francisco will see:

Global time San Francisco example

While someone in London will see:

Global time London example

Zulip supports Markdown formatting for tables.

What you type

|| yes | no | maybe
|---|---|:---:|------:
| A | left-aligned | centered | right-aligned
| B | extra spaces | are | ok
| C | **bold** *italic* ~~strikethrough~~ :smile: ||

What it looks like

Markdown table

Zulip makes it easy to create a poll. Polls in Zulip are collaborative, so anyone can add new options to a poll. However, only the creator of the poll can edit the question.

What you type

/poll What did you drink this morning?
Milk
Tea
Coffee

What it looks like

Markdown polls

Zulip supports creating shared to-do lists where any user who can access the message can add tasks by entering the task’s title and description, and clicking Add task. Once created, task titles and descriptions cannot be edited. The task list title can be edited any time by the to-do list’s creator.

What you type

/todo Today's tasks
Task 1: This is the first task.
Task 2: This is the second task.
Last task

What it looks like

Tasks are marked (and unmarked) as completed by clicking the checkboxes on the left.

Markdown todo-lists

Zulip supports Markdown formatting for paragraphs and visual section breaks, which you can use to control the layout of your text and to visually separate different sections of content.

What you type

One blank space for a new paragraph
New line, same paragraph
New paragraph
---, ***, or ___ for a horizontal line
Over the line
---
Under the line

What it looks like

Markdown paragraph

A summary of the formatting syntax above is available in the Zulip app.

  1. Click on the Help menu () icon in the upper right corner of the app.